про RMS и LUFS

  • Автор темы Автор темы sunet
  • Дата начала Дата начала
В нашем же случае параметром является значение напряжения/тока сигнала, в общем случае негармонического. И какую фазу/частоту Вы будете использовать в качестве параметра?! ;)

В общем случае это называется аналитический сигнал. Для его получения используется преобразование Гильберта.
 
@Driverson, можно было так же рассказать и откуда появляются частицы при столкновении пучка с мишенью в ускорителе. Но вот в разрезе дисскусии данного топика вряд ли стоит.
 
В общем случае это называется аналитический сигнал. Для его получения используется преобразование Гильберта.
Примените, пожалуйста, преобразование Гильберта к мгновенному значению в 6.45В с первой производной 150В/с и второй -20В/с2, если выручит - могу дать третью.
 
  • Like
Реакции: Long
Примените, пожалуйста, преобразование Гильберта к мгновенному значению в 6.45В с первой производной 150В/с и второй -20В/с2, если выручит - могу дать третью.

Этого не хватит. Нужен полный сигнал (чем меньшая его часть берётся, тем больше ошибка). Но значение мгновенной фазы сигнала (и мгновенной частоты) существует в любой точке. Однако, повторюсь, для их вычисления надо знать весь сигнал.

Я вот только упустил нить, причём тут мгновенная частота к вычислению RMS. С моей точки зрения - совершенно не при чем.
 
@Rst7, вообще не при чем. Этим термином @Driverson вводил в ступор каких-то физиков. Мгновенное значение частоты в нашем случае - это бред сивой кобылы. Поэтому разобраться что есть мгновенные значения и что есть интегральные параметры, к которым и относится RMS, в общем случае стоило.
 
Данное предложение имеет смысл исключительно для синусоидального сигнала.

-- Нет. Синтезатор: меандр от VCO, модулируемый по частоте.

эта мгновенная частота всё равно применима только в периодических сигналах.

-- Again 25! :)
Периодическим сигналом (током или напряжением) называют такой вид воздействия, когда форма сигнала повторяется через некоторый интервал времени T, который называется периодом.
Какое отношение это имеет к ЧМ-сигналу?

упустил нить, причём тут мгновенная частота к вычислению RMS. С моей точки зрения - совершенно не при чем.

-- Абсолютно!
Может, на этой радостной ноте и завершить бессмысленную ветку топика?
 
  • Like
Реакции: itzh
Хоть и оффтоп, но нет, для любого сигнала.
Вот задачка
DE84B13C-9A0A-4246-933B-347496296160.jpeg

Все эдс синусоидальные и обладают индивидуальными напряжением, частотой, фазой.
Какова частота суммарного сигнала в момент времени t1?
Как изменится частота/фаза выходного сигнала Uв в момент времени t2, если у ek изменить фазу на пи/6?
 
-- Again 25! :)
Периодическим сигналом (током или напряжением) называют такой вид воздействия, когда форма сигнала повторяется через некоторый интервал времени T, который называется периодом.
Какое отношение это имеет к ЧМ-сигналу?
Ну конечно эген 25, я опять ведусь на слова авторитета, не перепроверив их. Указанная проблема возникла не в ЧМ-сигнале, а в АМ.
 
-- В АМ - не могли поверить в существование боковых полос, хотя это элементарно проверяется.
Хоть парой-тройкой генераторов, хот школьной тригонометрией.

- Движенья нет! - вскричал мудрец брадатый.
Другой - смолчал, и стал пред ним ходить.

:)
 
  • Like
Реакции: Driverson
переехали в другую тему

! просьба всем охладить голову, съесть мороженку и придерживаться топика дискуссии


!! @Driverson вам пока устное предупреждение, но фактически вы способствуете разведению флейма, не исключаю, что умышленно, поэтому имейте в виду - следующее предупреждение может прилететь в виде бана.
 
  • Love
Реакции: itzh
Все эдс синусоидальные и обладают индивидуальными напряжением, частотой, фазой.
Какова частота суммарного сигнала в момент времени t1?

Хотя, конечно, и оффтоп, и мне не очень-то хочется выписывать все выкладки, но только ради истины, специально для Вас.

Разве что я предлагаю в иллюстративных целях ограничиться суммой двух сигналов с одинаковой амплитудой, но c разными частотами. Это сильно уменьшит количество писанины, но не повлияет на общий принцип.

Пусть у нас будет первый сигнал sin(ω1*t), а второй - sin(ω2*t). Для полноценных сигналов (с разными фазами, частотами и амплитудами) было бы a1*sin(ω1*t+ϕ1) и a2*sin(ω2*t+ϕ2), но мы просто упаримся в общем виде тащить все эти параметры до победного конца, полотенца будут многостраничные, потому предлагаю принять a1=a2=1, ϕ1=ϕ2=0. Да, напомню, что ω имеет смысл круговой частоты, т.е. 2*pi*f.

Полный сигнал - u(t)=sin(ω1*t)+sin(ω2*t)

Теперь нам нужно построить аналитический сигнал, т.е.

w(t)=u(t)+jv(t), где v(t) - результат преобразования Гильберта полного сигнала.

Воспользуемся свойством линейности п.Г. и запишем

v(t)=H(u(t))=H(sin(ω1*t)+sin(ω2*t))=H(sin(ω1*t))+H(sin(ω2*t))

Т.к. H(sin(x))=-cos(x) для области положительных частот, то имеем

v(t)=-cos(ω1*t)-cos(ω2*t)

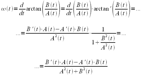
Теперь определим мгновенную фазу сигнала.

ϕ(t)=arctg(v(t)/u(t))=arctg((-cos(ω1*t)-cos(ω2*t))/(sin(ω1*t)+sin(ω2*t)))

Ну а мгновенная частота сигнала ω(t)=dϕ(t)/dt.

Осталось взять производную. Пусть этим займется, например, WolframAlpha - https://www.wolframalpha.com/input/?i=darctg((-cos(ω1*t)-cos(ω2*t))/(sin(ω1*t)+sin(ω2*t)))/dt

И получаем
ω(t)=
190028


Подставив сюда численные значения, Вы получите точное значение мгновенной частоты в момент времени t.

Если хотите помарать бумагу, можете попробовать сделать выкладки с более "полноценными" сигналами. Конечно, в реальной жизни никто не считает аналитическое решение, а просто накатывают фильтр Гильберта уже на дискретные значения и сразу получают две квадратурных составляющих (то, что у нас v(t) и u(t)), а потом немного хитро избавляются от арктангенса

190029

, что приводит к достаточно простой реализации, ибо производные сигналов считаются просто как, например, разности А'(t)=A(t)-A(t-dt).
 
  • Like
Реакции: presly и Aleksandr Oleynik
Драсте!.. А 1/T - это что?
Забор по красте.
Т - это цело число, просто цело число. Никакого отношения ко времени или частоте не имеет.
Просто складываете квадраты какой либо функции взятые через промежутки dt, делите на их количество (вот собственно откуда появилось 1/T) и далее находите корень суммы.
 
Последнее редактирование:
То же самое я бы вчера сказал и про RMS - это лишь способ отображения/представления СУБЪЕКТИВНОЙ громкости. Но вы ведь говорите, что оно к ней отношения не имеет. Вот хочу и разобраться, что я все эти годы измерял.))

  • Звуковое сопровождение – звуковая составляющая телевизионной программы.
  • Цифровой звуковой сигнал – звуковой сигнал в цифровой форме, представленный в двоичном коде, например в формате AES/EBU, в соответствии с документом EBU Tech. 3250-E.
  • Громкость программы – средняя (интегральная) громкость за всю длительность программы; при этом уровень громкости – это величина громкости программы, выраженная в единицах громкости LUFS.
  • Мгновенная громкость – значение громкости, измеренное методом «скользящего окна», с временем интеграции 400 мс в соответствии с EBU Tech Doc 3341. Единица измерения – LUFS.
  • Кратковременная громкость – значение громкости, измеренное методом «скользящего окна», с временем интеграции 3 с без применения относительного гейтирования в соответствии с EBU Tech Doc 3341.
  • Интегральная громкость – значение громкости, измеренное методом «скользящего окна», длиной 400 мс. с 75% перекрытием последовательных окон, а также применением функции гейтирования с использованием пороговых значений.
  • Диапазон громкости – параметр, определяющий динамический звуковой диапазон, вычисляемый статистическим методом в соответствии с EBU Tech Doc 3342 и ITU-R BS.1770-3. Единица измерения – LU;
  • Максимально допустимый уровень истинных пиков – максимально допустимый уровень истинных пиковых значений цифрового звукового сигнала, вычисленный с применением алгоритма «True Peak», согласно рекомендации ITU-R BS.1770. Единица измерения – dBTP;
  • Метаданные громкости – «служебная информация», передаваемая вместе с аудиосигналом, несущая информацию о значении громкости программы (Programme Loudness), в соответствии с рекомендациями EBU R 128.
1.7. Сокращения:

  • LUFS (Loudness Unit Full Scale) – логарифмическая единица уровня громкости звукового сигнала относительно максимального значения цифровой шкалы согласно рекомендациям EBU R 128 (LUFS эквивалентно LKFS, используемой в ITU-R BS. 1770);
  • LU (Loudness Unit) – единица громкости, 1 LU количественно соответствует 1 дБ, в соответствии с рекомендациями EBU R 128;
  • PMS − максимально допустимый сигнал (Permitted maximum signal);
  • AS − установочный сигнал (Alignment signal);
  • MS − измерительный сигнал (Measurement signal);
  • ЗС − сигнал звукового сопровождения (звуковой сигнал);
  • QPPM − квазипиковый измеритель уровня звукового сигнала (Quasi-peak programme meter), ГОСТ21185-75 (DIN45406);
  • VU − измеритель среднего уровня звукового сигнала (VU-meter);
  • dBTP − логарифмическая единица уровня цифрового звукового сигнала, отображающая истинные пиковые значения измеряемого сигнала относительно максимального значения цифровой шкалы, вычисленная с применением алгоритма измерения «True-Peak» согласно рекомендациям EBU R 128.
 
По поводу LU - Loudness unit - единица громкости
LU - это практически тот же самый RMS, только пропущенный через К-филтер.

К-фильтер - это последовательность:
1) HighShelf 2кГЦ +4дБ
190042


2) HighPass ~на 60 ГЦ
190043


Плюс несколько отличающиеся балистические моменты


Поскольку показатель LUFS является взвешенным, (K-weighted) он более точно отображает восприятие громкости звука.
Но мне и этот вариант измерения громкости не нравится.
Взвешенным он называется с натяжкой.

Как вариант, пробовал вместо К-фильтра использовать Тилт +3дБ, но тоже как-то не зашел. Использовал для сайдчейн цепи компрессора. Интересный эфект получался. Но измерять таким методом громкость программы не пробовал.
Можно попробовать использовать RMS взятые от сигнала после фильтров третьоктавного анализатора.
До стандартизации ой как далеко (((
 
Последнее редактирование:
Хотя, конечно, и оффтоп, и мне не очень-то хочется выписывать все выкладки, но только ради истины, специально для Вас.

Разве что я предлагаю в иллюстративных целях ограничиться суммой двух сигналов с одинаковой амплитудой, но c разными частотами. Это сильно уменьшит количество писанины, но не повлияет на общий принцип.

Пусть у нас будет первый сигнал sin(ω1*t), а второй - sin(ω2*t). Для полноценных сигналов (с разными фазами, частотами и амплитудами) было бы a1*sin(ω1*t+ϕ1) и a2*sin(ω2*t+ϕ2), но мы просто упаримся в общем виде тащить все эти параметры до победного конца, полотенца будут многостраничные, потому предлагаю принять a1=a2=1, ϕ1=ϕ2=0. Да, напомню, что ω имеет смысл круговой частоты, т.е. 2*pi*f.

Полный сигнал - u(t)=sin(ω1*t)+sin(ω2*t)

Теперь нам нужно построить аналитический сигнал, т.е.

w(t)=u(t)+jv(t), где v(t) - результат преобразования Гильберта полного сигнала.

Воспользуемся свойством линейности п.Г. и запишем

v(t)=H(u(t))=H(sin(ω1*t)+sin(ω2*t))=H(sin(ω1*t))+H(sin(ω2*t))

Т.к. H(sin(x))=-cos(x) для области положительных частот, то имеем

v(t)=-cos(ω1*t)-cos(ω2*t)

Теперь определим мгновенную фазу сигнала.

ϕ(t)=arctg(v(t)/u(t))=arctg((-cos(ω1*t)-cos(ω2*t))/(sin(ω1*t)+sin(ω2*t)))

Ну а мгновенная частота сигнала ω(t)=dϕ(t)/dt.

Осталось взять производную. Пусть этим займется, например, WolframAlpha - https://www.wolframalpha.com/input/?i=darctg((-cos(ω1*t)-cos(ω2*t))/(sin(ω1*t)+sin(ω2*t)))/dt

И получаем
ω(t)=
Посмотреть вложение 190028

Подставив сюда численные значения, Вы получите точное значение мгновенной частоты в момент времени t.

Если хотите помарать бумагу, можете попробовать сделать выкладки с более "полноценными" сигналами. Конечно, в реальной жизни никто не считает аналитическое решение, а просто накатывают фильтр Гильберта уже на дискретные значения и сразу получают две квадратурных составляющих (то, что у нас v(t) и u(t)), а потом немного хитро избавляются от арктангенса

Посмотреть вложение 190029
, что приводит к достаточно простой реализации, ибо производные сигналов считаются просто как, например, разности А'(t)=A(t)-A(t-dt).
Отлично, только вот опять скатываемся к серии измерений и к мгновенному значению это имеет опосредованное отношение - используются измерения на определенном интервале времени. Увы.
 
Отлично, только вот опять скатываемся к серии измерений и к мгновенному значению это имеет опосредованное отношение - используются измерения на определенном интервале времени. Увы.

Вы, простите, путаете теплое с мягким. Мгновенное значение - это функция, которая зависит от времени. В интересующий момент времени функция принимает какое-то значение. А уж как аналитически эта функция выражается - это дело двадцать пятое.

Более того, ладно бы понятие мгновенной частоты было абстрактным. Но нет. Например, в Вашем телефоне почти наверняка есть Bluetooth. В радиоканале там используется GFSK. И для его декодирования применяется именно алгоритм вычисления мгновенной частоты по квадратурным сигналам (мгновенная частота больше центральной частоты - принята 1, меньше - принят 0). Всякие детекторы отношений, частотные дискриминаторы и прочее - это все осталось в эпохе рассыпухи. Да, для вычисления текущей мгновенной частоты требуется знание прошлого сигнала, потому что берется производная (ну точнее - конечные разности), но сама по себе мгновенная частота - это именно значение в конкретно данной точке на временной оси.

Так что увы тут именно в другую сторону.
 
Вы, простите, путаете теплое с мягким. Мгновенное значение - это функция, которая зависит от времени. В интересующий момент времени функция принимает какое-то значение. А уж как аналитически эта функция выражается - это дело двадцать пятое.

Более того, ладно бы понятие мгновенной частоты было абстрактным. Но нет. Например, в Вашем телефоне почти наверняка есть Bluetooth. В радиоканале там используется GFSK. И для его декодирования применяется именно алгоритм вычисления мгновенной частоты по квадратурным сигналам (мгновенная частота больше центральной частоты - принята 1, меньше - принят 0). Всякие детекторы отношений, частотные дискриминаторы и прочее - это все осталось в эпохе рассыпухи. Да, для вычисления текущей мгновенной частоты требуется знание прошлого сигнала, потому что берется производная (ну точнее - конечные разности), но сама по себе мгновенная частота - это именно значение в конкретно данной точке на временной оси.

Так что увы тут именно в другую сторону.
Да где ж я это оспаривал) Да и выше же неоднократно это и отмечалось. В фазо-частотной модуляции частота и фаза это и есть те самые параметры, у которых есть непрерывные мгновенные значения, и в изменениях которых и закодирован полезный сигнал. Но вот у полезного сигнала, который передается этими изменениями - мнгновенных фазы/частоты уже нет. А у нас сигнал передается изменением тока/напряжения. И у этих параметров есть мгновенные значения, но уже тока/напряжения.

Если слегка подумать, то зная параметры несущей, просто получая мгновенное значение и производные в данной точке мы интерполируем сигнал с любой точностью, а вот несовпадение интерполяции с очередным измерением и есть та самая информация, которую нам пытаются передать. А вот изменения уже собственно информационного сигнала ни коим образом не дают нам данных о его «мгновенных» частоте/фазе...

Проще говоря, зная параметры стандартной несущей вы знаете и период, и фазу, и амплитуду. Далее расчетными методами вы можете кривую несущей интерполировать на сколь угодно длительном промежутке, со сколь угодно большой точностью. А вот отличие измеренных амплитуды и производных сигнала в некий момент времени от расчетных величин и позволяют нам точно расчитать изменения, зафиксировать их значение и построить интерполяцию несущей уже с этими изменениями и ожидать очередных отклонений. Вот и непрерывность и мгновенность. И т.д. и т.п.
 
Да где ж я это оспаривал)

Да везде. Вы отрицаете понятие мгновенной частоты/фазы. Сначала отрицали. Вот пруф:
А частота и спектр - это интегральные параметры и никаких «мгновенных» значений, без указания интервала времени, они не имеют они не имеют и иметь не могут. Интеграл по нулевому отрезку - ноль.

Потом внезапно оказывается, что
Мгновенная частота - она только у / для ЧМ-сигнала существует.

И Ваша концепция меняется
Данное предложение имеет смысл исключительно для синусоидального сигнала.

На Ваш вопрос
Какова частота суммарного сигнала в момент времени t1?
я ответил вполне корректными выкладками. Которые годятся для произвольного сигнала. Да, потом ЧМ приведен в качестве примера, но не надо думать, что это прям какое-то особенное.

В общем, я все сказал, более не имею желания что-либо тут доказывать. Честь имею.
 
Да везде. Вы отрицаете понятие мгновенной частоты/фазы. Сначала отрицали. Вот пруф:


Потом внезапно оказывается, что


И Ваша концепция меняется


На Ваш вопрос

я ответил вполне корректными выкладками. Которые годятся для произвольного сигнала. Да, потом ЧМ приведен в качестве примера, но не надо думать, что это прям какое-то особенное.

В общем, я все сказал, более не имею желания что-либо тут доказывать. Честь имею.


Не вижу проблем с честью, но вырывать части цитат стоит с осторожностью. Давайте будем точны. Полная цитата:
Мгновенное значение это величина параметра в определенный момент времени и все производные кривой изменения этого этого параметра по времени.

А частота и спектр - это интегральные параметры и никаких «мгновенных» значений, без указания интервала времени, они не имеют они не имеют и иметь не могут. Интеграл по нулевому отрезку - ноль.

Не предполагал путаницы с методами кодирования сигналов в рамках данного топика. И, тем более разъяснят ЧМ. Но увы. Нет ничего страшного, что Вы путаете операции с параметрами среды кодирования с операциями над полезным сигналом. Гильберта зачем-то вплели, но проведенную работу я оценил! Респект!

Хорошо расшифрую.
Параметр, указанный в первом предложении цитируемого Вами поста, и почему-то вычеркнутого Вами оттуда, это то, изменением чего передается полезный сигнал. У него в обязательном порядке есть как собственные мгновенные значения, так и производные по времени в каждый произвольный момент времени каким бы образом они не вычислялись. Это база аналогово кодирования. В нашем же случае это напряжение и ток.

Если я захочу передать информацию коромыслом, которое я выдвигаю из отверстия - мне надо определить те параметры, которые имеют мгновенные значения и которые я могу произвольно изменять, наиболее простое это длина торчащая из отверстия. Тогда параметр будет измеряться в метрах, но никакого представления куда я его двину в следующий раз у Вас не будет. Возможны лишь подозрения, да и то с течением времени. Что уж тут говорить о мгновенности чего-то иного, кроме длины и скорости ее изменения. А уж о частотных характеристиках передаваемого сигнала, вы даже гипотезу сможете построить ох как не скоро.

Ну а если я хочу передать информацию частотой, я воспользуюсь задокументированным сигналом и да, это будет скорее всего синусоида. А изменять и следить за изменениями я буду именно частоты, и да, у несущей в обязательном порядке я буду знать мгновенную частоту/фазу, и фиксировать изменения я так же буду в соответствующих единицах.
NB. Одно но, измерять мгновенную частоту и фазу я буду не в лоб, не подсчетом количества периодов в единицу времени, т.к. времени у меня на это нет и за один период несущего сигнала может происходить множество изменений. Я буду следить за мгновенным напряжением и производными этого процесса. Полученные значения однозначно укажут на изменением параметра (частоты/фазы).
Поэтому в данном случае однозначно будет и мгновенная частота, и мгновенная фаза, да еще и в любой произвольный момент времени, но только мгновенная частота и фаза самой несущей. А однозначность основана на известных параметрах несущего сигнала. И эта мгновенная частота никакого отношения к частоте (тем более к «мгновенной») полезного сигнала иметь не будет. Абсолютно. Это ортогональные величины. А что б говорить о неких частотных параметрах полезного сигнала, придется производить серию измерений уже раскодированного сигнала.

На пальцах, не обессудьте.
 
  • Sad
Реакции: itzh
Доброго времени суток, знатоки! Помогите, пожалуйста, оценить по параметрам трек. Я очень плохо разбираюсь в технических моментах, но смогу понять, если меня "ткнут" в мой пример. Мне нужно знать, какие должны быть показатели для "коммерческого использования".
 

Вложения

  • RMS_ LUFS.jpg
    RMS_ LUFS.jpg
    7,5 MB · Просмотры: 284
@CakeWorker, верхний показатель (PLR) - это short-term, чуть ниже (LKFS) - интегрированный. NuGen лично мне нравится за возможность сопоставления с разными опорными уровнями. С Youlean дела не имел, поэтому сказать ничего не могу. Еще рекомендую Expose для быстрого офлайн анализа, там еще несколько полезных показателей и опций, плюс ко всему - можно загрузить охапку файлов.
 
Последнее редактирование:
  • Like
Реакции: CakeWorker и belovw
Пользуюсь TBProAudio под Reaper, который переделал, что бы только Integrated Loudness и True Peak показывал. В коде ничего не менял, просто лишние параметры скрыл. Может кому подойдёт.
 

Вложения

  • Like
Реакции: convex и Aleksandr Oleynik

Сейчас просматривают